High Sensitivity Troponin and the Risk of Atrial Fibrillation in Chronic Kidney Disease: Results from the Chronic Renal Insufficiency Cohort Study
Author: Scott Janus
, MD, Additional Authors**
Introduction:
– Chronic kidney disease (CKD) is estimated to affect 14% of the adults in the United States1
– Patients with CKD have 2-3-fold increased risk of atrial fibrillation (AF)2,3
– Emerging literature show that HsTP is also associated with other cardiovascular events4 (e.g. heart failure, stroke, peripheral artery disease, etc.)
Aim:
We sought to identify the utility of HsTP for risk stratification of AF in CKD.
Methods:
– 3,217 participants excluding preexisting AF
– High sensitivity troponin (HsTP) was measured at baseline
– Concentration-effect association between HsTP and incident AF was explored using HsTP as a continuous variable and penalized smoothed spline with cox regression models
– HsTP was then categorized into 4 groups by quartiles
– Constructed three Cox proportional hazard models with increasingly adjusted models
– Receiver operating characteristics and area under the curve were estimated using the Kaplan Meier method at 3 time points (3 years, 6 years, and 9 years)
Results:
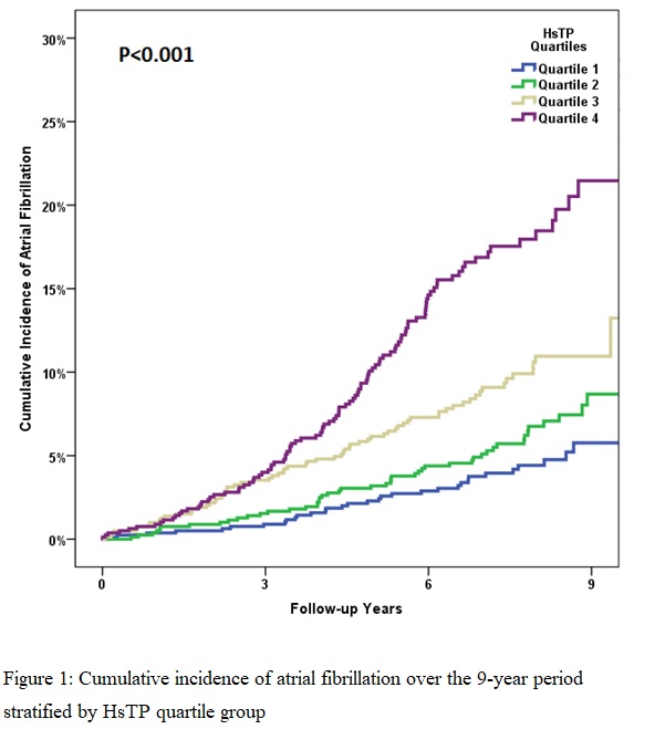
– Over a median follow up of 7.1 year years, 252 patients developed new-onset AF
– Compared with lowest quartile of HsTP (Q1), patients in third quartile of HsTP (HR 2.40, 95% CI: 1.58-3.65, P<0.001), and fourth quartile of HsTP (HR 4.43, 95% CI: 2.98-6.59, P<0.001) had
higher incidence of AF
– After full adjustment in model 3, only patients in fourth quartile of HsTP had higher incidence of AF (Q4 vs Q1; HR 2.19, 95% CI: 1.31-3.66)
– HsTP had modest discrimination of AF risk, with 3-year AUC of 0.66, 6-year AUC of 0.70, and 9-year AUC of 0.67
Conclusion:
– High sensitivity troponin is associated with risk of atrial fibrillation in patients with mild to moderate chronic kidney disease
– This association remained statistically significant despite accounting for traditional atrial fibrillation risk
References:
1). Usrds. 2014 USRDS Annual Data Report. Distribution of NHANES. Data Source Natl Heal Nutr Exam Surv. 1988.
2). Watanabe H, et all. Close bidirectional relationship between chronic kidney disease and atrial fibrillation:
3). Baber U, et al. Association of Chronic Kidney Disease With Atrial Fibrillation Circ Arrhythmia Electrophysiology
4). Voroneanu L, et all. Atrial fibrillation in chronic kidney disease. Eur J Intern
**Authors
Scott E. Janus, MD – Harrington Heart and Vascular Institute, University Hospitals Cleveland Medical Center
Jamal Hajjari, MD – Harrington Heart and Vascular Institute, University Hospitals Cleveland Medical Center
Sadeer Al-Kindi, MD – Harrington Heart and Vascular Institute, University Hospitals Cleveland Medical Center
Program Director: Brian Hoit, MD, FACC
Program Coordinator: Joanna Benson




